Foram encontradas 876 questões.
Seja
um processo estocástico onde as variáveis
são não correlacionadas, isto é, Cov
= 0, t ? s e Z é o conjunto dos números inteiros. O processo X
é um
Provas
Questão presente nas seguintes provas
Seja X =
um vetor de variáveis aleatórias e seja
, sua matriz de covariâncias. Seja Y a primeira componente principal da matriz ? e ? a correlação entre
. O valor de ? e a proporção da variância total de X que é explicada por Y são dados respectivamente por
, sua matriz de covariâncias. Seja Y a primeira componente principal da matriz ? e ? a correlação entre Provas
Questão presente nas seguintes provas
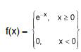
O tempo de vida de um aparelho, em unidades de 1.000 horas, é uma variável aleatória X com distribuição exponencial com função densidade de probabilidade dada por
o custo de fabricação de um aparelho é R$ 500,00 e seu preço de venda é R$ 1.000,00. Sabendo que o fabricante garante a devolução do aparelho se x<0,2, o lucro esperado por aparelho, considerando que e
o custo de fabricação de um aparelho é R$ 500,00 e seu preço de venda é R$ 1.000,00. Sabendo que o fabricante garante a devolução do aparelho se x<0,2, o lucro esperado por aparelho, considerando que e
Provas
Questão presente nas seguintes provas
O seguinte modelo foi ajustado a uma série temporal de produção de certo produto:

onde a
é o ruído branco de média zero e variância 1.
O modelo ajustado
onde a
O modelo ajustado
Provas
Questão presente nas seguintes provas
Um gráfico de controle de um processo produtivo indica que o processo está sob controle se o conjunto de pontos do gráfico
Provas
Questão presente nas seguintes provas
Um recurso frequentemente utilizado para compensar os problemas resultantes de ruídos nos processos de comunicação dentro de uma organização é
Provas
Questão presente nas seguintes provas
Quando uma empresa terceirizada cumpre seu contrato, mas não oferece um serviço de qualidade, geralmente o gestor do contrato não
Provas
Questão presente nas seguintes provas
Com relação ao planejamento estratégico na sociedade contemporânea, considere:
I. O ponto de partida do planejamento estratégico não é o de reduzir a incerteza, mas desafiá-la utilizando a criatividade e a inovação.
II. A adaptação da organização a um ambiente instável deve ser feita por meio de um retorno constante ao equilíbrio, limitando o leque de escolhas disponíveis.
III. O planejamento estratégico deixa em segundo plano a localização de potencialidades, deslocando seu foco para a construção de cenários futuros.
IV. Na visão do planejamento estratégico, o mundo atual é imprevisível e caótico, no qual pequenas causas podem gerar grandes consequências.
V. No planejamento estratégico atual, vale mais a forma como as pessoas lidam com os problemas do que a precisão e o detalhamento com os quais os problemas são tratados.
Está correto o que se afirma APENAS em
I. O ponto de partida do planejamento estratégico não é o de reduzir a incerteza, mas desafiá-la utilizando a criatividade e a inovação.
II. A adaptação da organização a um ambiente instável deve ser feita por meio de um retorno constante ao equilíbrio, limitando o leque de escolhas disponíveis.
III. O planejamento estratégico deixa em segundo plano a localização de potencialidades, deslocando seu foco para a construção de cenários futuros.
IV. Na visão do planejamento estratégico, o mundo atual é imprevisível e caótico, no qual pequenas causas podem gerar grandes consequências.
V. No planejamento estratégico atual, vale mais a forma como as pessoas lidam com os problemas do que a precisão e o detalhamento com os quais os problemas são tratados.
Está correto o que se afirma APENAS em
Provas
Questão presente nas seguintes provas
- Gestão de ProcessosOrganizações, Sistemas e Métodos
- PODC: Processo OrganizacionalProcesso Administrativo: OrganizaçãoEstrutura Organizacional
O tipo de estrutura organizacional mais adequado para lidar com situações de maior complexidade nos ambientes externos e internos é a
Provas
Questão presente nas seguintes provas
Liderança é a
Provas
Questão presente nas seguintes provas
Cadernos
Caderno Container