Foram encontradas 6.626 questões.
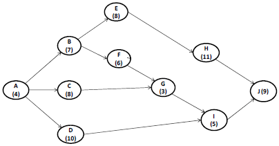
Utilize a imagem do diagrama PERT a seguir para responder a questão abaixo.

Para acompanhar um projeto de pesquisa, financiado pelo CNPq, a equipe de projetos preparou um diagrama PERT. Considerando que para cada atividade prevista (listadas de A a J) está relacionado um tempo de realização (em semanas), qual é o menor tempo possível para a conclusão do projeto?
Provas
Questão presente nas seguintes provas
São características das atividades de Gerenciamento de Projetos, com exceção da opção:
Provas
Questão presente nas seguintes provas
De acordo com a American Management Association, projeto é definido como “o processo de reunir e liderar uma equipe de pessoas e outros recursos, para estimar, planejar, acompanhar e controlar um número de tarefas relacionadas entre si, que resulta num produto final específico, que deve ser criado num prazo, dentro de um orçamento e de acordo com as especificações”. Nesse sentido, é incorreto afirmar que um projeto possui
Provas
Questão presente nas seguintes provas
Considere:
I. A subdivisão das principais entregas do projeto e do trabalho do projeto em componentes menores e mais facilmente gerenciáveis.
II. A agregação dos custos estimados de atividades individuais ou pacotes de trabalho para o estabelecimento de uma linha de base dos custos.
II. A agregação dos custos estimados de atividades individuais ou pacotes de trabalho para o estabelecimento de uma linha de base dos custos.
No PMBOK, as necessidades especificadas em I e II são, respectivamente, objetos dos processos
Provas
Questão presente nas seguintes provas
Um escritório de projetos (PMO) é uma unidade organizacional que centraliza e coordena o gerenciamento de projetos sob seu domínio. Sobre o PMO, NÃO é correto afirmar:
Provas
Questão presente nas seguintes provas
As áreas de especialização necessárias à equipe de projetos para garantir um gerenciamento eficaz, segundo o PMBOK, são:
Provas
Questão presente nas seguintes provas
Assinale qual das alternativas abaixo não faz parte das definições dos ciclos de vida do projeto.
Provas
Questão presente nas seguintes provas
Assinale a alternativa que preenche, correta e respectivamente, as lacunas da frase abaixo.
.......... é o instituto responsável pela disseminação internacional de conhecimentos da área e .......... é o nome do documento que contém o corpo de conhecimentos com toda a descrição dos processos de gerenciamento e suas características.
Provas
Questão presente nas seguintes provas
Assinale a alternativa que preenche corretamente a lacuna da frase abaixo.
.......... é o método e um conjunto de técnicas baseadas em princípios aceitos de gestão usados para planejar, estimar e controlar atividades de trabalho, visando atingir um resultado final desejado no prazo, dentro do orçamento e de acordo com a especificação.
Provas
Questão presente nas seguintes provas
Na Gestão de Projetos, uma tarefa fundamental é a elaboração da Work Breakdown Structure (WBS), uma descrição hierárquica do trabalho a ser realizado para completar o projeto. Por ser uma etapa crítica, algumas características são usadas para avaliar se cada atividade na WBS pode ser considerada completa. Qual das características abaixo não é um critério de completude de uma WBS?
Provas
Questão presente nas seguintes provas
Cadernos
Caderno Container