Foram encontradas 160 questões.
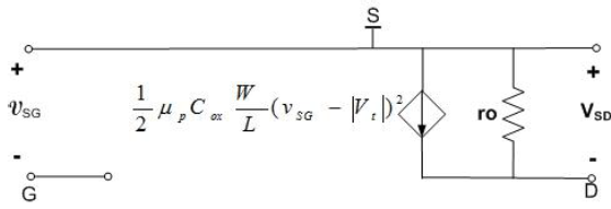
Observe a figura em destaque.

O circuito representado na figura 8 é um modelo equivalente para
Provas
Questão presente nas seguintes provas
Com relação ao serviço de mise en place nos restaurantes, é correto afirmar que a
Provas
Questão presente nas seguintes provas
Leia as afirmativas abaixo, no que se refere aos elementos do mercado turístico:
I. As principais características da demanda turística são sazonalidade, elasticidade e heterogeneidade.
II. As principais características da oferta turística são estrutura financeira rígida, instalações parcialmente utilizadas e sem elasticidade.
III. A vocação turística do núcleo receptor (município) pode dar origem à segmentação do turismo, como por exemplo, agroturismo, ecoturismo, turismo rural, esportivo, cultural, temático e religioso.
Está(ão) correta(s) a(s) afirmativa(s)
Provas
Questão presente nas seguintes provas
Os principais problemas de conservação pós-colheita da uva Itália são a ocorrência de danos mecânicos, o escurecimento das bagas e a desidratação do engaço. Os danos mecânicos devem-se ao manuseio inadequado durante a colheita, a embalagem e o transporte, enquanto o escurecimento das bagas e a desidratação do engaço são desordens de natureza
Provas
Questão presente nas seguintes provas
De acordo com a legislação atual, o vinho composto deverá conter, no mínimo, quanto por cento de vinho de mesa?
Provas
Questão presente nas seguintes provas
A operação de remontagem permite, entre outros fatores, o de introduzir oxigênio exógeno ao mosto, paralelamente a essa ação haverá o incremento da maceração através da facilitação da extração dos seguintes constituintes
Provas
Questão presente nas seguintes provas
Deseja-se usar um circuito com função de transferência H(!$ ω !$) para prevenir aliasing em um sinal de frequência máxima W, que será mostrado com taxa Fa e transmitido em código de pulsos. Sabendo-se disso, é correto afirmar que o
Provas
Questão presente nas seguintes provas
No que diz respeito ao planejamento, analise as afirmativas abaixo:
I. O planejamento estratégico no turismo deve ser utilizado em função da dinâmica do meio ambiente, da flexibilidade, da necessidade de sustentabilidade, da integração interna das empresas e da revitalização organizacional necessária do setor.
II. O turismo brasileiro não enfrenta problemas de planejamento de sua atividade, uma vez que, desde a década de 1950, atua com visão estratégica, posicionamento mercadológico e sustentabilidade em todas as modalidades de turismo.
III. O planejamento estratégico do turismo deve-se apoiar na participação de empresários interessados em desenvolver a atividade, priorizando somente os interesses setoriais, aceitando que sempre haverá aumento das desigualdades sociais, uma vez que o turismo não se envolve com tais problemáticas.
Está(ão) correta(s) a(s) afirmativa(s)
Provas
Questão presente nas seguintes provas
Observando-se o espectro de um sinal digital constatou-se que ele tem distribuição em banda base, porém não apresenta componente DC nem em frequências próximas de zero hertz. Apenas baseando-se nessa informação que codificação NÃO poderia ter esse espectro?
Provas
Questão presente nas seguintes provas
Observe a figura.

De acordo com as definições de precisão e exatidão, é correto afirmar que os resultados de tiro ao alvo possuem
Provas
Questão presente nas seguintes provas
Cadernos
Caderno Container