Foram encontradas 235 questões.
Analise as afirmações a seguir sobre a formação e o desenvolvimento do Município de Novo Planalto, localizado no norte
do Estado de Goiás, e marque (V) para as alternativas verdadeiras ou (F) para as falsas.
( ) O Município de Novo Planalto foi criado pela Lei Estadual nº. 10.415, de 1º de Janeiro de 1988, sendo oficialmente instalado em 1º de junho de 1989.
( ) Segundo o IBGE (2022), Novo Planalto possui população inferior a 5 mil habitantes, com densidade demográfica abaixo da média estadual, característica comum dos municípios rurais goianos.
( ) A agropecuária é o principal setor da economia local, com destaque para a criação de gado e o cultivo de grãos como soja e milho, responsáveis pela maior parte da renda municipal.
( ) O Município apresenta taxa de escolarização de 98,98% entre crianças de 6 a 14 anos, valor superior à média nacional registrada no mesmo período.
Está correto o que se afirma em:
( ) O Município de Novo Planalto foi criado pela Lei Estadual nº. 10.415, de 1º de Janeiro de 1988, sendo oficialmente instalado em 1º de junho de 1989.
( ) Segundo o IBGE (2022), Novo Planalto possui população inferior a 5 mil habitantes, com densidade demográfica abaixo da média estadual, característica comum dos municípios rurais goianos.
( ) A agropecuária é o principal setor da economia local, com destaque para a criação de gado e o cultivo de grãos como soja e milho, responsáveis pela maior parte da renda municipal.
( ) O Município apresenta taxa de escolarização de 98,98% entre crianças de 6 a 14 anos, valor superior à média nacional registrada no mesmo período.
Está correto o que se afirma em:
Provas
Questão presente nas seguintes provas
Após mais de duas décadas de regime militar (1964-1985), o Brasil viveu um intenso processo de mobilização social e política que resultou na elaboração de uma nova Constituição, promulgada em 5 de outubro de 1988. A Carta marcou o início de um período de redemocratização, ampliando a participação popular e consolidando garantias fundamentais em diversas áreas da vida pública e privada. Em razão de suas características e dos avanços sociais que trouxe, a Constituição Federal de 1988 ficou conhecida como “Constituição Cidadã” porque:
Provas
Questão presente nas seguintes provas
4068989
Ano: 2026
Disciplina: Legislação Estadual e Distrital
Banca: GANZAROLI
Orgão: Pref. Novo Planalto-GO
Disciplina: Legislação Estadual e Distrital
Banca: GANZAROLI
Orgão: Pref. Novo Planalto-GO
A legislação goiana prevê diferentes instrumentos de proteção e valorização do patrimônio cultural, aplicáveis tanto a bens materiais quanto a manifestações imateriais. Esses instrumentos visam garantir a preservação da memória coletiva, o uso social e o respeito à autenticidade dos bens culturais. Com base nesses princípios, assinale a alternativa que define corretamente um dos instrumentos de preservação do patrimônio cultural.
Provas
Questão presente nas seguintes provas
A mineração do ouro em Goiás, iniciada nas primeiras décadas do século XVIII, transformou profundamente o território e a
sociedade local. A atividade atraiu mineradores, comerciantes e missionários, mas também provocou o deslocamento e a
exploração de populações indígenas, além de consolidar o uso do trabalho escravizado africano nas lavras e nos serviços
urbanos. Essa estrutura de exploração marcou a formação social e econômica da capitania e definiu as bases de seu
povoamento. Nesse sentido, analise as afirmações sobre a mineração do ouro em Goiás e marque (V) para as alternativas
verdadeiras ou (F) para as falsas.
( ) A mineração do ouro impulsionou o povoamento do interior e a criação de vilas, estruturando o espaço urbano da antiga capitania.
( ) O trabalho indígena e africano escravizado foi essencial para o funcionamento das lavras e para a construção das vilas.
( ) A extração aurífera concentrou a riqueza nas mãos de poucos e reforçou as desigualdades sociais e raciais.
( ) A abundância de ouro gerou prosperidade duradoura e garantiu bem-estar econômico para a maior parte da população goiana.
A ordem correta é:
( ) A mineração do ouro impulsionou o povoamento do interior e a criação de vilas, estruturando o espaço urbano da antiga capitania.
( ) O trabalho indígena e africano escravizado foi essencial para o funcionamento das lavras e para a construção das vilas.
( ) A extração aurífera concentrou a riqueza nas mãos de poucos e reforçou as desigualdades sociais e raciais.
( ) A abundância de ouro gerou prosperidade duradoura e garantiu bem-estar econômico para a maior parte da população goiana.
A ordem correta é:
Provas
Questão presente nas seguintes provas
(1933-1937), integrou-se ao projeto nacional de modernização e interiorização do poder promovido por Getúlio Vargas, conhecido como Marcha para o Oeste. Essa política buscava fortalecer a presença administrativa do Estado e inserir o Centro-Oeste nas redes de desenvolvimento econômico e político do país, reafirmando a importância estratégica dessa região. Com base nesse contexto histórico, o principal objetivo da transferência da capital foi:
Provas
Questão presente nas seguintes provas
Durante uma semana, uma professora de ciências pediu que seus alunos registrassem a quantidade de garrafas plásticas
recicladas em casa. O resultado, em número de garrafas, foi o seguinte:
Com base nos dados da tabela, qual foi a média de garrafas recicladas por Ana durante a semana?
Com base nos dados da tabela, qual foi a média de garrafas recicladas por Ana durante a semana?
Provas
Questão presente nas seguintes provas
Em um laboratório de ciências, os alunos estão observando o crescimento de uma colônia de bactérias colocada em uma placa de Petri. No início do experimento, havia 200 bactérias. Após medir os resultados, eles perceberam que a cada 3 horas a quantidade de bactérias dobrava. Se o experimento for acompanhado por 9 horas, qual será a quantidade aproximada de bactérias ao final desse período?
Provas
Questão presente nas seguintes provas
Uma empresa aumentou o preço de um produto em 15% e, depois de um mês, concedeu 10% de desconto sobre o novo valor. O preço final ficou:
Provas
Questão presente nas seguintes provas
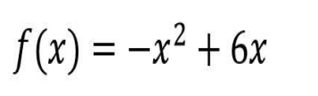
Um estudante lança uma bola verticalmente para cima, e sua altura (em metros) em função do tempo (em segundos) é dada por:

Qual é a altura máxima que a bola atinge?
Provas
Questão presente nas seguintes provas
Maria precisou fazer um empréstimo de R$ 5.000,00 para reformar sua cozinha. O banco ofereceu juros compostos de 2% ao mês. Ela planeja pagar o empréstimo em 6 meses. Qual será o montante total aproximado que Maria terá que pagar ao final desse período? Considere 1,02³ =1,0612.
Provas
Questão presente nas seguintes provas
Cadernos
Caderno Container