Foram encontradas 120 questões.
O DNA apresenta uma estrutura primária semelhante à do RNA, com algumas modificações. Por exemplo, no RNA as bases nitrogenadas são a adenina, a guanina, a citosina e a uracila; no DNA, tem-se a ocorrência da timina em vez da uracila. Além disso, o DNA possui uma estrutura secundária em forma de dupla hélice de cordões de ácido nucleico. Nessa estrutura, conforme figura I, abaixo, cada porção das moléculas de adenina (A) e de guanina (G) de um cordão liga-se, por meio de ligações de hidrogênio, à porção de uma molécula de timina (T) e de citosina (C), respectivamente, do outro cordão. Na figura II, são apresentadas as moléculas de adenina e de timina.

A adenina e a timina podem ser classificadas como
Provas
O DNA apresenta uma estrutura primária semelhante à do RNA, com algumas modificações. Por exemplo, no RNA as bases nitrogenadas são a adenina, a guanina, a citosina e a uracila; no DNA, tem-se a ocorrência da timina em vez da uracila. Além disso, o DNA possui uma estrutura secundária em forma de dupla hélice de cordões de ácido nucleico. Nessa estrutura, conforme figura I, abaixo, cada porção das moléculas de adenina (A) e de guanina (G) de um cordão liga-se, por meio de ligações de hidrogênio, à porção de uma molécula de timina (T) e de citosina (C), respectivamente, do outro cordão. Na figura II, são apresentadas as moléculas de adenina e de timina.

As fórmulas moleculares da adenina e da timina são, respectivamente,
Provas
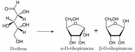
O anel derivado de açúcar presente nos nucleotídeos do RNA pode ser visto como formado a partir da reação de ciclização da D-ribose, conforme esquema a seguir.

Se a reação de ciclização da D-ribose for exotérmica, então um aumento de temperatura causará
Provas
O anel derivado de açúcar presente nos nucleotídeos do RNA pode ser visto como formado a partir da reação de ciclização da D-ribose, conforme esquema a seguir.

A α-D-ribopiranose e a β-D-ribopiranose são
Provas
O anel derivado de açúcar presente nos nucleotídeos do RNA pode ser visto como formado a partir da reação de ciclização da D-ribose, conforme esquema a seguir.

A ciclização apresentada consiste em uma reação de
Provas
O termo globalização refere-se à intensificação da integração econômica, social, cultural e política entre países. Nas últimas décadas, a globalização tem sido impulsionada pelo barateamento dos meios de transporte e de comunicação. No entanto, a globalização pode causar efeitos adversos à sociedade, especialmente nos casos de aumento do risco de disseminação de algumas doenças relacionadas a agentes infecciosos, como os vírus. Atualmente, governos de diversos países e especialistas da comunidade científica mundial têm envidado esforços na tentativa de impedir que a epidemia do vírus ebola se propague por meio de passageiros infectados que viajam da África para outros países. O vírus ebola tem um genoma constituído por uma pequena cadeia de RNA, cuja degradação moderada forma unidades monoméricas denominadas nucleotídeos, conforme estrutura apresentada na figura a seguir

De acordo com a teoria da repulsão dos pares de elétrons de valência, a orientação dos átomos de oxigênio do grupo fosfato dos nucleotídeos do RNA, em torno do átomo de fósforo, ocorre de acordo com os vértices de
Provas
A globalização também ocorre no aspecto linguístico, de forma que palavras estrangeiras são frequentemente incluídas em nosso vocabulário. Hoje, dizemos corriqueiramente que vamos a um restaurante self-service, que estamos online, que precisamos fazer um download e que postamos uma selfie.
Considere que seja de P(t)% o percentual de palavras estrangeiras no total de palavras utilizadas diariamente na língua portuguesa, em que !$ P(t) = \dfrac{1}{100} (64+88t-t^2) !$ , t = 0 representa o tempo presente, t = 1 representa uma estimativa para daqui a 1 ano, e assim sucessivamente até os próximos 85 anos (t = 85). Nessa situação, é correto afirmar que a referida porcentagem chegará a 20% para
Provas
Por meio da Internet, é possível buscar amigos nas diversas partes do planeta, o que pode significar uma constante adição de novos contatos nas redes sociais dos usuários mais ativos. Considere que determinado usuário adicione à sua rede social, no mês j = 1, 2, 3, ..., um número Aj de novos amigos. Considere, ainda, que a sequência {A1, A2, A3, ...} esteja em progressão geométrica, que A7 = 192, A10 = 1.536 e que nenhum amigo tenha sido excluído pelo usuário durante um período de 36 meses.
Com base nessas informações e sabendo que 212 = 4.096, é correto afirmar que, em um período de 12 meses, o número de amigos adicionados pelo usuário à sua rede social foi
Provas

A figura acima apresenta os gráficos de duas funções lineares que representam o número de pacientes atendidos no ambulatório de um hospital e o número de pacientes internados em uma área restrita, no primeiro e no segundo dia de observação. Considerando que essas funções representem os referidos números ao longo de 30 dias, assinale a opção correta.
Provas
Os sintomas mais comuns do vírus ebola são febre, diarreia, dores de cabeça, fraqueza, dor de garganta, dores nas articulações e calafrios. Em um hospital, depois que alguns pacientes foram examinados, constatou-se que cada um deles tinha exatamente três dos sete sintomas desse vírus, mas quaisquer dois deles não apresentavam os mesmos três sintomas.
A partir dessas informações, infere-se que o número máximo de pacientes examinados foi
Provas
Caderno Container