Foram encontradas 120 questões.
Em determinada região carente, montou-se um hospital a céu aberto para tratar pacientes com cólera, varíola e ebola. Conforme ilustrado na figura abaixo, o hospital foi dividido em três áreas, para que os pacientes possam ficar isolados. Na figura, ABI é um triângulo isósceles, em que as medidas dos lados AB e AI são iguais; FGH é um triângulo retângulo, cujo ângulo em G é reto; CDEJ é um paralelogramo cuja medida do ângulo em D é igual ao dobro da medida do ângulo em C; os segmentos CD e FH e os segmentos BI e CJ são, dois a dois, paralelos e de mesma medida.

A área, em m2, da região reservada para o tratamento dos pacientes infectados com ebola (paralelogramo CDEJ) é
Provas
A globalização tem contribuído para os avanços científicos e tecnológicos por propiciar um grande intercâmbio entre cientistas de diferentes países. Por exemplo, esforços conjuntos de fabricantes de aeronaves e companhias aéreas de vários países têm permitido o desenvolvimento do bioquerosene por meio do tratamento de óleos vegetais, conforme ilustrado no esquema abaixo, em que R corresponde a um radical hidrocarbônico. No processo, os triglicerídeos constituintes do óleo vegetal são craqueados e o intermediário 1 formado é posteriormente convertido a alcano por meio de dois diferentes caminhos; como produto da reação, é gerada uma mistura de alcanos lineares e ramificados com diferentes massas molares.

Com relação à mistura de alcanos obtidas a partir do referido tratamento, é correto afirmar que, para os compostos lineares, quanto maior for a massa molar,
Provas
A globalização tem contribuído para os avanços científicos e tecnológicos por propiciar um grande intercâmbio entre cientistas de diferentes países. Por exemplo, esforços conjuntos de fabricantes de aeronaves e companhias aéreas de vários países têm permitido o desenvolvimento do bioquerosene por meio do tratamento de óleos vegetais, conforme ilustrado no esquema abaixo, em que R corresponde a um radical hidrocarbônico. No processo, os triglicerídeos constituintes do óleo vegetal são craqueados e o intermediário 1 formado é posteriormente convertido a alcano por meio de dois diferentes caminhos; como produto da reação, é gerada uma mistura de alcanos lineares e ramificados com diferentes massas molares.

No esquema apresentado, o triglicerídeo e os intermediários 1, 2 e 3 apresentam, respectivamente, as funções
Provas
Atualmente, há grande preocupação com a intensificação da liberação de gases poluentes para a atmosfera causada pela crescente circulação de pessoas e mercadorias. Além de afetar o ciclo de carbono, devido a liberação de CO2, a queima de combustíveis fósseis também libera gases responsáveis pelo fenômeno da chuva ácida.
Considere que o equilíbrio de autoionização da água (Kw), conforme abaixo representado, seja igual a 1,0 × 10−14 a 25 ºC.
2H2O (l) !$ \leftrightharpoons !$ H3O+ (aq) + OH- (aq)
Considere, ainda, que uma amostra de chuva ácida com pH igual a 4,0 apresente comportamento de uma solução ideal. Nessa situação, para essa amostra, a 25 ºC,
Provas
Atualmente, há grande preocupação com a intensificação da liberação de gases poluentes para a atmosfera causada pela crescente circulação de pessoas e mercadorias. Além de afetar o ciclo de carbono, devido a liberação de CO2, a queima de combustíveis fósseis também libera gases responsáveis pelo fenômeno da chuva ácida.
Considere que o querosene de aviação seja composto unicamente por carbono e hidrogênio, sendo a porcentagem de carbono igual a 85%. Nesse caso, considerando uma combustão completa, um avião que consome, em média, 10,0 kg desse querosene por quilômetro, ao percorrer 10.000 km, libera uma quantidade de CO2 igual a
Provas
Em 2013, o comércio internacional de minério de ferro foi de 1,23 bilhão de toneladas, dado que ilustra claramente o fenômeno da globalização. Nesse cenário, o Brasil ocupa posição de destaque porque possui a segunda maior reserva do planeta, em termos de ferro contido no minério. Os dois principais minérios encontrados no Brasil são a hematita (Fe2O3) e a magnetita (Fe3O4). O ferro também é comumente encontrado na siderita (FeCO3).
O ferro é usualmente extraído do minério, em altos-fornos, por meio de redução com CO. Abaixo, é apresentada a reação não balanceada para a hematita.
Fe2O3 + CO → Fe + CO2
A menor soma de coeficientes estequiométricos inteiros que permite balancear essa equação é igual a
Provas
Em 2013, o comércio internacional de minério de ferro foi de 1,23 bilhão de toneladas, dado que ilustra claramente o fenômeno da globalização. Nesse cenário, o Brasil ocupa posição de destaque porque possui a segunda maior reserva do planeta, em termos de ferro contido no minério. Os dois principais minérios encontrados no Brasil são a hematita (Fe2O3) e a magnetita (Fe3O4). O ferro também é comumente encontrado na siderita (FeCO3).
Assinale a opção que apresenta as nomenclaturas oficiais dos compostos correspondentes aos minerais hematita e siderita, respectivamente.
Provas
Em 2013, o comércio internacional de minério de ferro foi de 1,23 bilhão de toneladas, dado que ilustra claramente o fenômeno da globalização. Nesse cenário, o Brasil ocupa posição de destaque porque possui a segunda maior reserva do planeta, em termos de ferro contido no minério. Os dois principais minérios encontrados no Brasil são a hematita (Fe2O3) e a magnetita (Fe3O4). O ferro também é comumente encontrado na siderita (FeCO3).
No estado fundamental de energia, um átomo de ferro possui exatamente
Provas
Em 2013, o comércio internacional de minério de ferro foi de 1,23 bilhão de toneladas, dado que ilustra claramente o fenômeno da globalização. Nesse cenário, o Brasil ocupa posição de destaque porque possui a segunda maior reserva do planeta, em termos de ferro contido no minério. Os dois principais minérios encontrados no Brasil são a hematita (Fe2O3) e a magnetita (Fe3O4). O ferro também é comumente encontrado na siderita (FeCO3).
Se, em determinado ano, o Brasil exportou 300 milhões de toneladas de minério de ferro, sendo 60% de hematita e 40% de magnetita, então a massa de ferro, em milhões de toneladas, contida no minério de ferro exportado foi
Provas
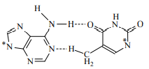
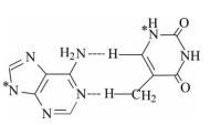
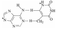
O DNA apresenta uma estrutura primária semelhante à do RNA, com algumas modificações. Por exemplo, no RNA as bases nitrogenadas são a adenina, a guanina, a citosina e a uracila; no DNA, tem-se a ocorrência da timina em vez da uracila. Além disso, o DNA possui uma estrutura secundária em forma de dupla hélice de cordões de ácido nucleico. Nessa estrutura, conforme figura I, abaixo, cada porção das moléculas de adenina (A) e de guanina (G) de um cordão liga-se, por meio de ligações de hidrogênio, à porção de uma molécula de timina (T) e de citosina (C), respectivamente, do outro cordão. Na figura II, são apresentadas as moléculas de adenina e de timina.

Considerando que as ligações de hidrogênio são indicadas por linhas tracejadas, assinale a opção que melhor representa a ocorrência dessas ligações entre as porções de moléculas de adenina e timina no DNA.
Provas
Caderno Container