Foram encontradas 265 questões.
Assinale a alternativa que contém um padrão de projeto estrutural.
Provas
Questão presente nas seguintes provas
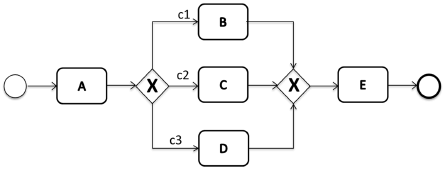
Analise o modelo de processo hipotético abaixo, representado na notação para modelagem de processos (BPMN) suportada pela ferramenta Bizagi Process Modeler 2.9.0.4.

Sobre esse modelo, é correto afirmar que
Provas
Questão presente nas seguintes provas
Após 12 dias de internação em UTI, paciente desenvolve novo quadro de sepse grave. Foram coletadas hemoculturas (HMC) pareadas (catéter central e periférica), aspirado traqueal e urocultura (paciente com sonda vesical de demora). Novo esquema antimicrobiano
foi iniciado, consistindo de polimixina-B, tigeciclina e vancomicina. O exame qualitativo de urina foi normal, e na urocultura houve crescimento de Candida Sp. Parâmetros da ventilação mecânica (VM) não deterioraram; aspecto da secreção pulmonar era hialina espessa; e regime ventilatório permitiria descontinuação da VM. HMC evidenciaram crescimento de Staphylococcus aureus sensível à meticilina. Os tempos de crescimento foram 9 horas e 13 horas para hemocultura do catéter e periférica, respectivamente.
Considerando as informações acima, assinale a alternativa INCORRETA.
Provas
Questão presente nas seguintes provas
No Hibernate, uma consulta é executada ao invocar o método __________. O resultado da consulta é carregado completamente em uma coleção ____________. Instâncias de entidades recuperadas por uma consulta ficam em um estado __________.
Assinale a alternativa que preenche correta e respectivamente as lacunas do texto acima.
Provas
Questão presente nas seguintes provas
"Na metade do século passado, a profissão de RH passou por três grandes ondas (...) e uma quarta onda está surgindo" (ULRICH, 2013). Sobre essa quarta onda, é correto afirmar que
Provas
Questão presente nas seguintes provas
Assinale com V (verdadeiro) ou F (falso) as afirmativas abaixo em relação ao metabolismo do lactato.
( ) Status epilepticus pode ser causa de acidose lática.
( ) Não existe associação entre a magnitude da elevação do lactato e mortalidade em pacientes críticos sépticos.
( ) Agonistas !$ \beta - 2 !$ adrenérgicos podem ser causa de hiperlactatemia em pacientes com asma aguda grave, internados na UTI.
( ) Pacientes sépticos podem apresentar elevação de lactato como resultado de aumento da glicólise aeróbica, mesmo sem evidência de hipoperfusão tecidual.
( ) Solução de ringer lactato não deve ser administrada em pacientes sépticos, devido ao risco de promover hiperlactatemia.
A sequência correta de preenchimento dos parênteses, de cima para baixo, é
Provas
Questão presente nas seguintes provas
Paciente de 66 anos, tabagista, hipertenso, dislipidêmico, chega à Emergência com dor torácica em aperto retroesternal de forte intensidade, com mais de uma hora de evolução e com irradiação para membro superior esquerdo, sudorético e dispneico. Refere pelo menos três episódios dessa dor nas últimas 24h, com menor intensidade e duração de 15min. Uso prévio de captopril, sinvastatina, metoprolol e AAS. Exame físico revela ausculta pulmonar com estertores crepitantes em bases, sopro sistólico apical, extremidades frias, pressão arterial de 80/40mmHg, frequência cardíaca de 140bpm. O ECG mostra taquicardia sinusal, infradesnível de segmento ST de 0,6mm em V5, V6, D1 e AVL. A troponina sérica é de 2ng/ml.
Para o manejo deste paciente, portador de Síndrome coronariana aguda sem supra de ST (SCASSST), qual é o procedimento adequado?
Provas
Questão presente nas seguintes provas
Em relação à atividade de levantamento de requisitos, considere as afirmações abaixo.
I - O artefato que deve indicar todas as pessoas que se beneficiarão direta ou indiretamente com o desenvolvimento de um sistema denomina-se “lista de interessados”.
II - As sugestões coletadas dos diversos interessados não podem ser conflitantes, assim, aquelas que são feitas por interessados de nível hierárquico superior prevalecem sobre as demais.
III - As perguntas iniciais feitas pelo engenheiro de requisitos devem ser “livres de contexto”, ou seja, devem focar os benefícios e as metas de projeto globais.
Quais estão corretas?
Provas
Questão presente nas seguintes provas
796372
Ano: 2015
Disciplina: Legislação Específica das Agências Reguladoras
Banca: UFRGS
Orgão: HCPA
Disciplina: Legislação Específica das Agências Reguladoras
Banca: UFRGS
Orgão: HCPA
A Lei nº 9.656, da Presidência da República, de 3 de junho de 1998, dispõe sobre a Saúde Suplementar no Brasil. Em seu Art. 1°, estão identificadas as entidades sujeitas às disposições dessa Lei.
Assinale a alternativa que apresenta as entidades NÃO contempladas nesse artigo.
Provas
Questão presente nas seguintes provas
Considerando a presença de edema de face, avalie as seguintes afirmações, assinalando-as com V (verdadeiro) ou F (falso).
( ) O paciente pode ser portador de uma pulpite reversível.
( ) O paciente pode ser portador de um abscesso apical agudo.
( ) O paciente pode ser portador de um abscesso periodontal.
( ) O paciente pode ser portador de osteíte condensante periapical.
A sequência correta de preenchimento dos parênteses, de cima para baixo, é
Provas
Questão presente nas seguintes provas
Cadernos
Caderno Container