Foram encontradas 40 questões.
Considere as proposições simples p, q, r e s e as seguintes premissas verdadeiras:
( i ) p ↔ r
( ii ) r ↔ s
( iii ) ~ s v ~ q
( iv ) p
Com base exclusivamente nessas premissas, é CORRETO concluir que é verdadeiro:
Provas
Questão presente nas seguintes provas
A substância polilaminina tem sido objeto de pesquisas biomédicas no Brasil como uma alternativa terapêutica para lesões traumáticas
da medula espinhal. Estudos recentes relatam casos em que pacientes com lesão medular completa apresentaram retomada de
sensações e pequenos movimentos após a aplicação experimental da substância, e a Agência Nacional de Vigilância Sanitária
(ANVISA) autorizou a realização de estudo clínico de fase 1 para avaliar sua segurança em voluntários com lesão aguda da medula
espinhal.
Fonte: MINISTÉRIO DASAÚDE, 2026; FAPERJ; 2026.
Considere, de forma hipotética, o seguinte protocolo simplificado para administração e logística de tratamento em um paciente:
• Cada dose de polilaminina é preparada em um frasco contendo 2,5 mL de solução com concentração de 6 mg/mL de princípio ativo;
• O tratamento experimental exige que o paciente receba duas doses por dia, durante 5 dias consecutivos;
• O frasco de solução é estocado em uma caixa térmica com capacidade de 10 L, sendo necessário reservar 25 % do volume da caixa para gelo;
• Cada bloco de gelo ocupa 1 Le não se pode utilizar partes do bloco de gelo;
• O laboratório fica a 90 km do centro de aplicação, e a ambulância realiza o trajeto de ida e volta com velocidade média de 60 km/h, havendo ainda 1 hora de preparação antes do envio.
Com base nessas informações, é CORRETO afirmar que:
Fonte: MINISTÉRIO DASAÚDE, 2026; FAPERJ; 2026.
Considere, de forma hipotética, o seguinte protocolo simplificado para administração e logística de tratamento em um paciente:
• Cada dose de polilaminina é preparada em um frasco contendo 2,5 mL de solução com concentração de 6 mg/mL de princípio ativo;
• O tratamento experimental exige que o paciente receba duas doses por dia, durante 5 dias consecutivos;
• O frasco de solução é estocado em uma caixa térmica com capacidade de 10 L, sendo necessário reservar 25 % do volume da caixa para gelo;
• Cada bloco de gelo ocupa 1 Le não se pode utilizar partes do bloco de gelo;
• O laboratório fica a 90 km do centro de aplicação, e a ambulância realiza o trajeto de ida e volta com velocidade média de 60 km/h, havendo ainda 1 hora de preparação antes do envio.
Com base nessas informações, é CORRETO afirmar que:
Provas
Questão presente nas seguintes provas
De acordo com informações oficiais do Comitê Olímpico Internacional e da cobertura da imprensa brasileira, os Jogos Olímpicos de
Inverno Milano-Cortina 2026 contaram com uma delegação brasileira recorde, com participação em diversas modalidades
distribuídas entre as cidades sede da Itália
Fonte: BRASIL, 2026; COMITÊ OLÍMPICO INTERNACIONAL, 2026.
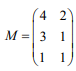
Considere, para fins matemáticos, que o Brasil tenha participado de três modalidades nos Jogos Olímpicos de Inverno 2026, a distribuição dos atletas por modalidade e por sexo é representada pela matriz M:
Na qual:
(i) cada linha corresponde, respectivamente, às modalidades A, B e C;
(ii) a primeira coluna indica o número de atletas do sexo masculino;
(iii) a segunda coluna indica o número de atletas do sexo feminino.
Além disso, sabe-se que:
• todos os atletas foram distribuídos integralmente em equipes de treinamento, cada uma formada por exatamente 2 atletas;
• cada atleta participou de apenas uma equipe;
• não houve sobreposição entre equipes nem atletas remanescentes;
• cada equipe utilizou uma pista retangular de gelo, cuja área é proporcional ao número de atletas da equipe, considerando que cada atleta necessita de 15 m2 de área.
Com base nessas informações, é CORRETO afirmar que:
Fonte: BRASIL, 2026; COMITÊ OLÍMPICO INTERNACIONAL, 2026.
Considere, para fins matemáticos, que o Brasil tenha participado de três modalidades nos Jogos Olímpicos de Inverno 2026, a distribuição dos atletas por modalidade e por sexo é representada pela matriz M:
Na qual:
(i) cada linha corresponde, respectivamente, às modalidades A, B e C;
(ii) a primeira coluna indica o número de atletas do sexo masculino;
(iii) a segunda coluna indica o número de atletas do sexo feminino.
Além disso, sabe-se que:
• todos os atletas foram distribuídos integralmente em equipes de treinamento, cada uma formada por exatamente 2 atletas;
• cada atleta participou de apenas uma equipe;
• não houve sobreposição entre equipes nem atletas remanescentes;
• cada equipe utilizou uma pista retangular de gelo, cuja área é proporcional ao número de atletas da equipe, considerando que cada atleta necessita de 15 m2 de área.
Com base nessas informações, é CORRETO afirmar que:
Provas
Questão presente nas seguintes provas
A Plataforma Integrada de Vigilância em Saúde (IVISQ), do Ministério da Saúde, disponibiliza dados oficiais sobre os nascidos vivos
no Brasil, organizados por localidade e mês, com base no Sistema de Informações sobre Nascidos Vivos (SINASC) (BRASIL, 2025).
Segundo os dados referentes ao ano de 2025, extraídos em agosto de 2025, o total de nascidos vivos acumulados entre os meses de
janeiro e agosto foi de aproximadamente 1.568.000 no Brasil, distribuídos por grandes regiões. A distribuição deve ocorrer da seguinte
forma:
• Região Sudeste: aproximadamente 594.000 nascidos vivos;
• Região Nordeste: aproximadamente 434.000 nascidos vivos;
• Região Sul: aproximadamente 230.000 nascidos vivos;
• Região Norte: aproximadamente 168.000 nascidos vivos;
• Região Centro-Oeste: aproximadamente 142.000 nascidos vivos.
Considere, ainda, que os dados de setembro a dezembro do referido ano não estavam consolidados no momento da extração.
Com base exclusivamente nessas informações, é CORRETO afirmar que:
• Região Sudeste: aproximadamente 594.000 nascidos vivos;
• Região Nordeste: aproximadamente 434.000 nascidos vivos;
• Região Sul: aproximadamente 230.000 nascidos vivos;
• Região Norte: aproximadamente 168.000 nascidos vivos;
• Região Centro-Oeste: aproximadamente 142.000 nascidos vivos.
Considere, ainda, que os dados de setembro a dezembro do referido ano não estavam consolidados no momento da extração.
Com base exclusivamente nessas informações, é CORRETO afirmar que:
Provas
Questão presente nas seguintes provas
O Super Bowl LX (2026), realizado nos Estados Unidos, estabeleceu novos recordes financeiros relacionados à publicidade televisiva.
De acordo com reportagens do GE Globo (2026), Times Brasil (2026) e ESPN Brasil (2026), o valor pago por um comercial de 30
segundos ultrapassou R$ 50 milhões, refletindo a elevada audiência e o impacto econômico do evento.
Considere que, durante o primeiro bloco comercial exibido após a abertura do Super Bowl 2026, sete empresas anunciaram seus produtos, pagando os valores (em milhões de reais) apresentados na Figura 1.
Figura 1: Distribuição dos valores pagos (em R$ milhões) por sete comerciais exibidos no primeiro bloco após a abertura do Super Bowl 2026.
Fonte: CPCON, 2026
Com base nesses dados, analise as medidas de tendência central e assinale a alternativa CORRETA.
Considere que, durante o primeiro bloco comercial exibido após a abertura do Super Bowl 2026, sete empresas anunciaram seus produtos, pagando os valores (em milhões de reais) apresentados na Figura 1.
Figura 1: Distribuição dos valores pagos (em R$ milhões) por sete comerciais exibidos no primeiro bloco após a abertura do Super Bowl 2026.
Fonte: CPCON, 2026
Com base nesses dados, analise as medidas de tendência central e assinale a alternativa CORRETA.
Provas
Questão presente nas seguintes provas
Leia o Texto II e responda à questão.
Texto II
Capítulo VII – Inverno
A família estava reunida em torno do fogo, Fabiano sentado no pilão caído, sinha Vitória de pernas cruzadas, as coxas
servindo de travesseiros aos filhos. A cachorra Baleia, com o traseiro no chão e o resto do corpo levantado, olhava as brasas que se
cobriam de cinza.
Estava um frio medonho, as goteiras pingavam lá fora, o vento sacudia os ramos das catingueiras, e o barulho do rio era como
um trovão distante.
Fabiano esfregou as mãos satisfeito e empurrou os tições com a ponta da alpercata. As brasas estalaram, a cinza caiu, um
círculo de luz espalhou-se em redor da trempe de pedras, clareando vagamente os pés do vaqueiro, os joelhos da mulher e os meninos
deitados. De quando em quando estes se mexiam, porque o lume era fraco e apenas aquecia pedaços deles. Outros pedaços esfriavam
recebendo o ar que entrava pelas rachaduras das paredes e pelas gretas da janela. Por isso não podiam dormir. Quando iam pegando no
sono, arrepiavam-se, tinham precisão de virar-se, chegavam-se à trempe e ouviam a conversa dos pais. Não era propriamente conversa,
eram frases soltas, espaçadas, com repetições e incongruências. Às vezes uma interjeição gutural dava energia ao discurso ambíguo.
Na verdade nenhum deles prestava atenção às palavras do outro: iam exibindo as imagens que lhes vinham ao espírito, e as imagens
sucediam-se, deformavam-se, não havia meio de dominá-las. Como os recursos de expressão eram minguados, tentavam remediar a
deficiência falando alto.
[...]
Fonte: RAMOS, Graciliano. Vidas secas. Jandira, São Paulo: Princípios, 2024, p. 48 (Clássicos da literatura brasileira). [fragmento]
A. “Na verdade nenhum deles prestava atenção às palavras do outro” (3º parágrafo)
B. “Às vezes uma interjeição gutural dava energia ao discurso ambíguo” (3º parágrafo)
C. “iam exibindo as imagens que lhes vinham ao espírito” (3º parágrafo)
Analise as assertivas que seguem.
I- O emprego da crase em Ae em B se justifica por diferentes regras.
II- Em A, o acento indicativo da crase se justifica em razão da fusão da preposição “a” com o artigo que antecede o termo “palavras”.
III- Em B, o acento indicativo da crase foi empregado em razão de ser um adjunto adverbial curto.
IV- Em C, o acento gráfico em “espírito” foi empregado em razão de ser uma palavra proparoxítona.
V- Em B, o acento gráfico em “ambíguo” foi empregado em razão de ser uma palavra oxítona.
ÉCORRETO o que se afirma apenas em:
Provas
Questão presente nas seguintes provas
Leia o Texto II e responda à questão.
Texto II
Capítulo VII – Inverno
A família estava reunida em torno do fogo, Fabiano sentado no pilão caído, sinha Vitória de pernas cruzadas, as coxas
servindo de travesseiros aos filhos. A cachorra Baleia, com o traseiro no chão e o resto do corpo levantado, olhava as brasas que se
cobriam de cinza.
Estava um frio medonho, as goteiras pingavam lá fora, o vento sacudia os ramos das catingueiras, e o barulho do rio era como
um trovão distante.
Fabiano esfregou as mãos satisfeito e empurrou os tições com a ponta da alpercata. As brasas estalaram, a cinza caiu, um
círculo de luz espalhou-se em redor da trempe de pedras, clareando vagamente os pés do vaqueiro, os joelhos da mulher e os meninos
deitados. De quando em quando estes se mexiam, porque o lume era fraco e apenas aquecia pedaços deles. Outros pedaços esfriavam
recebendo o ar que entrava pelas rachaduras das paredes e pelas gretas da janela. Por isso não podiam dormir. Quando iam pegando no
sono, arrepiavam-se, tinham precisão de virar-se, chegavam-se à trempe e ouviam a conversa dos pais. Não era propriamente conversa,
eram frases soltas, espaçadas, com repetições e incongruências. Às vezes uma interjeição gutural dava energia ao discurso ambíguo.
Na verdade nenhum deles prestava atenção às palavras do outro: iam exibindo as imagens que lhes vinham ao espírito, e as imagens
sucediam-se, deformavam-se, não havia meio de dominá-las. Como os recursos de expressão eram minguados, tentavam remediar a
deficiência falando alto.
[...]
Fonte: RAMOS, Graciliano. Vidas secas. Jandira, São Paulo: Princípios, 2024, p. 48 (Clássicos da literatura brasileira). [fragmento]
Provas
Questão presente nas seguintes provas
Leia o Texto II e responda à questão.
Texto II
Capítulo VII – Inverno
A família estava reunida em torno do fogo, Fabiano sentado no pilão caído, sinha Vitória de pernas cruzadas, as coxas
servindo de travesseiros aos filhos. A cachorra Baleia, com o traseiro no chão e o resto do corpo levantado, olhava as brasas que se
cobriam de cinza.
Estava um frio medonho, as goteiras pingavam lá fora, o vento sacudia os ramos das catingueiras, e o barulho do rio era como
um trovão distante.
Fabiano esfregou as mãos satisfeito e empurrou os tições com a ponta da alpercata. As brasas estalaram, a cinza caiu, um
círculo de luz espalhou-se em redor da trempe de pedras, clareando vagamente os pés do vaqueiro, os joelhos da mulher e os meninos
deitados. De quando em quando estes se mexiam, porque o lume era fraco e apenas aquecia pedaços deles. Outros pedaços esfriavam
recebendo o ar que entrava pelas rachaduras das paredes e pelas gretas da janela. Por isso não podiam dormir. Quando iam pegando no
sono, arrepiavam-se, tinham precisão de virar-se, chegavam-se à trempe e ouviam a conversa dos pais. Não era propriamente conversa,
eram frases soltas, espaçadas, com repetições e incongruências. Às vezes uma interjeição gutural dava energia ao discurso ambíguo.
Na verdade nenhum deles prestava atenção às palavras do outro: iam exibindo as imagens que lhes vinham ao espírito, e as imagens
sucediam-se, deformavam-se, não havia meio de dominá-las. Como os recursos de expressão eram minguados, tentavam remediar a
deficiência falando alto.
[...]
Fonte: RAMOS, Graciliano. Vidas secas. Jandira, São Paulo: Princípios, 2024, p. 48 (Clássicos da literatura brasileira). [fragmento]
Avalie as asserções a seguir e a relação proposta entre elas.
I- O termo “tições” significa pedaços de lenhas acesas ou meio queimadas e é utilizado para situações que exigem precisão técnica, como textos científicos e jurídicos. Seu emprego é inadequado, pois mistura termos de origem popular com termos de alta formalidade, comprometendo a coerência comunicativa.
PORQUE
II- No contexto em análise, o fragmento apresenta traços de registro informal e regional, evidenciando escolhas lexicais típicas de contextos rurais e da oralidade, adequadas à narrativa.
A respeito dessas asserções, é CORRETO afirmar que:
Provas
Questão presente nas seguintes provas
Leia o Texto II e responda à questão.
Texto II
Capítulo VII – Inverno
A família estava reunida em torno do fogo, Fabiano sentado no pilão caído, sinha Vitória de pernas cruzadas, as coxas
servindo de travesseiros aos filhos. A cachorra Baleia, com o traseiro no chão e o resto do corpo levantado, olhava as brasas que se
cobriam de cinza.
Estava um frio medonho, as goteiras pingavam lá fora, o vento sacudia os ramos das catingueiras, e o barulho do rio era como
um trovão distante.
Fabiano esfregou as mãos satisfeito e empurrou os tições com a ponta da alpercata. As brasas estalaram, a cinza caiu, um
círculo de luz espalhou-se em redor da trempe de pedras, clareando vagamente os pés do vaqueiro, os joelhos da mulher e os meninos
deitados. De quando em quando estes se mexiam, porque o lume era fraco e apenas aquecia pedaços deles. Outros pedaços esfriavam
recebendo o ar que entrava pelas rachaduras das paredes e pelas gretas da janela. Por isso não podiam dormir. Quando iam pegando no
sono, arrepiavam-se, tinham precisão de virar-se, chegavam-se à trempe e ouviam a conversa dos pais. Não era propriamente conversa,
eram frases soltas, espaçadas, com repetições e incongruências. Às vezes uma interjeição gutural dava energia ao discurso ambíguo.
Na verdade nenhum deles prestava atenção às palavras do outro: iam exibindo as imagens que lhes vinham ao espírito, e as imagens
sucediam-se, deformavam-se, não havia meio de dominá-las. Como os recursos de expressão eram minguados, tentavam remediar a
deficiência falando alto.
[...]
Fonte: RAMOS, Graciliano. Vidas secas. Jandira, São Paulo: Princípios, 2024, p. 48 (Clássicos da literatura brasileira). [fragmento]
Provas
Questão presente nas seguintes provas
Leia o Texto I e responda à questão.
Texto I
Rastros do ChatGPT
Revistas de oncologia detectam uso expressivo de programas de inteligência artificial (IA) por autores e revisores de artigos
A Associação Americana para Pesquisa do Câncer (AACR), que publica 10 revistas científicas da área de oncologia, detectou
uma prevalência elevada do uso de programas de inteligência artificial generativa nos trabalhos submetidos a seus periódicos. Vinte e
três por cento dos manuscritos encaminhados por autores em 2024 continham indícios de que os textos foram preparados ou revisados
com o apoio de grandes modelos de linguagem (LLM), sistemas de inteligência artificial treinados com enormes volumes de texto para
compreender a linguagem humana, nos quais se baseiam ferramentas como o ChatGPT. O problema se estende, embora em menor
escala, ao trabalho dos revisores – especialistas que avaliam o conteúdo dos trabalhos e recomendam ou não sua publicação. Há sinais
de uso de programas de IA em 5% de pareceres de revisão por pares produzidos em 2024.
Para rastrear os vestígios, a associação utilizou uma ferramenta desenvolvida pela Pangram Labs, startup de Nova York
especializada na detecção de textos gerados por inteligência artificial. Aplicada a 46.500 resumos, 46.021 seções de métodos e 29.544
comentários de revisão por pares submetidos aos 10 periódicos da AACR entre 2021 e 2024, a ferramenta mostrou que a quantidade de
textos gerados por IA em relatórios de revisão por pares caiu 50% no final de 2023, após a AACR proibir os avaliadores de usarem esse
recurso. Já entre os autores, que podem utilizar esses programas, desde que informem os editores, o uso mais que dobrou no início de
2024 – e continua a aumentar.
“Ficamos chocados quando vimos os resultados do Pangram”, disse Daniel Evanko, diretor de operações e sistemas de
periódicos da AACR, à Nature. Ele apresentou esses resultados no 10º Congresso Internacional de Revisão por Pares e Publicações
Científicas em Chicago, nos Estados Unidos, em setembro. “Nossa intenção é começar a analisar todos os manuscritos recebidos e
todos os comentários de revisão por pares.”
A análise constatou que autores de instituições em países onde o inglês não é a língua nativa tinham mais que o dobro de
probabilidade de utilizar LLMs. Também sugeriu que as políticas que estabelecem a obrigatoriedade de declarar o uso de IA têm tido
sucesso limitado: 36% dos 7.177 manuscritos submetidos entre janeiro e junho de 2025 foram sinalizados pelo Pangram, mas os
autores de apenas 9% do total de submissões declarou ter usado esse tipo de recurso para escrever ou revisar seus trabalhos.
Fonte: PESQUISA FAPESP. Rastros do ChatGPT. 23 out 2028, 8:47. Disponível em: https://revistapesquisa.fapesp.br/rastros-do-chatgpt/. Acesso em 25 out. 2025
[adaptado].
Provas
Questão presente nas seguintes provas
Cadernos
Caderno Container